All published articles of this journal are available on ScienceDirect.
Comparative Analysis of the Compression and Uplift Bearing Characteristics of PHC Pipe Pile on the Same Site
Abstract
Introduction:
The analysis of single pile behavior is an important foundation for the analysis of group pile foundation and other complex pile foundations.
Methods:
Based on the analysis of the load transfer of the compression pile and the uplift pile, the DoseResp model is used to fit the normalized load transfer function.
Results:
The results show that the load transfer function of the uplift pile and the compression pile has similar characteristics, the goodness of fit of the DoseResp model to the test data is greater than 0.99, which can better reflect the load transfer law of the pile. The fitting parameters in the DoseResp model mainly depend on the end resistance sharing ratio, A2 (Top asymptote)is independent of pile type and soil property parameters and is close to 1. The DoseResp model is applied to the PHC pipe pile, and the method to determine the parameters of the model fitting is proposed, which can accurately determine the side resistance distribution of PHC compression and uplift pipe pile along the pile body. Under the same load, the amount of uplift on the top of the uplift pile is significantly greater than the settlement on the top of the compression pile.
Conclusion:
The end resistance sharing ratio of the compression pile and the uplift pile is between 5.76 and 12.80. The ultimate bearing capacity of the compression pile is 3.61 ~ 3.81 times of that of the uplift pile under the same geometric parameters.
1. INTRODUCTION
PHC pipe pile is widely used in various geotechnical engineering foundations for its high bearing capacity, strong applicability to the foundation and reliable quality of pile sinking. Compared with compression piles, the research on the behavior of uplift piles under vertical load is relatively lacking. The bearing capacity of a single compression pile is composed of end resistance and side resistance. However, the end resistance of the uplift pile is very small or even zero, and its bearing capacity is completely determined by the side resistance. Therefore, the key to reveal the stress state of the uplift pile is to study the side resistance of the uplift pile.
The range of the standard value of the ultimate bearing capacity, ultimate side resistance and ultimate end resistance of a single pile that calculated by the empirical parameter method given by the current pile foundation design specification is large [1]. The standard value of the limit side resistance is too small, and the standard value of the limit end resistance is too large, and the calculation result is quite different from the actual situation.
The working principle, construction technology and control parameters of the post-grouting pile have been analyzed, in addition, the applicable conditions of the technology have been proposed [2].
Ren [3] mainly studied the bearing capacity of post-grouting piles at pile end, and discussed the influence of pile end grouting, pile side grouting and simultaneous grouting of pile end and pile side on the bearing capacity of cast-in-place piles.
Seed and Reese [4], and Kezdi, A [5] discussed the load transfer law of piles and the calculation of pile bearing capacity.
Liang [6] proposed the concept of the utilizing coefficient of the ultimate side resistance of the pile under the action of vertical load. The exertion degree decreased with the depth of the pile into the soil. On this basis, the calculation method of the bearing capacity of the single pile of the post -grouting drilling pile was put forward.
Liang et al., [7, 8] proposed the Load transfer function of the compression pile, and analyzed the bearing characteristics of the bored pile under the vertical load.
Zhang Wu, [9] considered that the side resistance at the end of the compression pile had an enhanced effect, while the side resistance at the end of the uplift pile had a degenerated effect, resulting in a small side resistance at the end of the uplift pile, or even no end resistance.
Du, [10] and Huang, [11] analyzed the side resistance of the compression and uplift piles, and given the side resistance prediction formula considering the influence of the shear expansion of the soil around the pile and the rotation of the main stress direction on the side resistance.
The study of bearing characteristics of piles is often seen in cast-in-place piles. Through the static load test of PHC pipe pile in a power station project in West Beijing, the load transfer characteristics of the PHC pipe pile are studied, which provides a theoretical basis for the design and construction of the PHC pipe pile project.
2. BEARING BEHAVIOR OF SINGLE PILES UNDER VERTICAL LOADS
2.1. Load Transfer Function
Under the action of vertical load, the load transfer function of the single pile is defined to be normalized as,
![]() |
(1) |
Where,
(z) is the axial force of the section of pile body at any depth z; Q is the pile top load; L is the pile length.
At z/L=0,
(0)=
;
At z/L=1,
(1)=
p
The end resistance sharing ratio is defined as,
![]() |
(2) |
3. ANALYSIS OF LOAD TRANSFER FUNCTION OF COMPRESSION PILE AND UPLIFT PILE
3.1. Analysis of Load Transfer Function of Compression Pile
The upper part of the survey depth in the survey area of a Metro Project is mainly miscellaneous fill, plain fill, silty fine sand, loess like silty clay, silty fine sand, medium sand, silty clay, medium sand, silty fine sand, etc. The soil layer that the pile passes through is mainly silty fine sand, medium-coarse sand with gravel and medium-coarse sand. The bored pile, with a pile diameter of 2.0 m and a pile length of 13.5 m, is subjected to field static load test [7]. The test results are sorted out and analyzed, and the axial force of the pile section is normalized, and the formula (1) is used for fitting:
![]() |
(4) |
Where,
are the fit parameter. A1 is a bottom asymptote, A2 is a top asymptote, Lx0 is center, p is hill slope.
The normalized transfer function fitting results of the compression pile load are shown in Fig. (1) The fitting parameters are given in Table 1. The R-square of the fitting curve formula (1) is greater than 0.993, the function has a good correlation. The mean value of fitting parameters A2 is 1.10483, the coefficient of variation is 0.04413, so A2 can be considered as a constant.
Figs. (2 and 3) show that the calculated side resistance is not much different from the measured maximum value. The difference between the calculated side resistance and the measured side resistance is caused by the difference of soil parameters. The calculated end resistance sharing ratio is 0.07-0.28, and the measured end resistance sharing ratio is 0.07-0.29.
3.2. Analysis of the Load Transfer Function of Uplift Pile
The soil layer of a pile in Hangzhou is mainly plain fill, pond mud, muddy clay, gravel sand mixed cohesive soil, clay, and medium sand mixed cohesive soil and silty fine sand. The bored pile, with a diameter of 0.8 m and a length of 24.9 m, is subjected to field static load test [9]. The test results are sorted out and analyzed, the load transfer function is normalized, and the formula (1) is used for fitting.
The normalized transfer function fitting results of the uplift pile load are shown in Fig. (4) The fitting parameters are given in Table 2. The R-square of the fitting curve formula (1) is greater than 0.996, the function has a good correlation. The mean value of fitting parameters A2 is 1.10483, the coefficient of variation is 0.04413, so A2 can be considered as a constant.

Relationship of compression pile.

Relationship of compression pile.

Relationship compression pile.

Relationship of uplift pile.
| Load/kN | Q/Qmax | A1 | A2 | Lx0 | p | R-Square | αpc | αpm |
|---|---|---|---|---|---|---|---|---|
| 4487 | 0.17 | 0.05104 | 1.07019 | 0.42409 | -2.83942 | 0.99858 | 0.0741 | 0.0742 |
| 6731 | 0.25 | 0.07326 | 1.23462 | 0.33534 | -1.96315 | 0.99588 | 0.1281 | 0.1486 |
| 8974 | 0.33 | 0.05429 | 1.13109 | 0.46227 | -1.94586 | 0.99484 | 0.1431 | 0.1913 |
| 11218 | 0.42 | 0.08316 | 1.08796 | 0.50103 | -2.06899 | 0.99577 | 0.1685 | 0.2229 |
| 13462 | 0.50 | 0.09526 | 1.07004 | 0.53412 | -2.09788 | 0.99537 | 0.1882 | 0.2477 |
| 15705 | 0.58 | 0.09259 | 1.09531 | 0.53170 | -1.91885 | 0.99547 | 0.2050 | 0.2759 |
| 17949 | 0.67 | 0.11012 | 1.11072 | 0.51335 | -1.84376 | 0.99482 | 0.2226 | 0.2786 |
| 20192 | 0.75 | 0.10850 | 1.10736 | 0.53318 | -1.78301 | 0.99326 | 0.2366 | 0.2944 |
| 22436 | 0.83 | 0.10850 | 1.10736 | 0.53318 | -1.78301 | 0.99326 | 0.2366 | 0.2907 |
| 24680 | 0.92 | 0.15559 | 1.09012 | 0.52421 | -1.91180 | 0.99547 | 0.2580 | 0.2769 |
| 26923 | 1.00 | 0.21014 | 1.04840 | 0.54243 | -2.29211 | 0.99745 | 0.2789 | 0.2848 |
max is Maximum load for load test, αpc is end resistance sharing ratio by calculating, αpm end resistance sharing ratio by measuring.
| Q/kN | Q/Qmax | A1 | A2 | Lx0 | p | R-Square | αpc | αpm |
|---|---|---|---|---|---|---|---|---|
| 340 | 0.20 | 0.00956 | 1.1326 | 0.35871 | -2.58941 | 0.99823 | 0.054 | 0.049 |
| 510 | 0.30 | -0.02749 | 1.10318 | 0.44741 | -2.29358 | 0.99898 | 0.070 | 0.076 |
| 680 | 0.40 | -0.10703 | 1.11435 | 0.54337 | -1.86901 | 0.99956 | 0.113 | 0.113 |
| 850 | 0.50 | -0.16582 | 1.06246 | 0.61357 | -2.06116 | 0.99884 | 0.090 | 0.095 |
| 1020 | 0.60 | -0.10454 | 1.03121 | 0.61095 | -2.41288 | 0.99854 | 0.090 | 0.096 |
| 1190 | 0.70 | -0.04601 | 1.00660 | 0.60000 | -2.89618 | 0.99745 | 0.083 | 0.091 |
| 1360 | 0.80 | -0.02557 | 0.99467 | 0.60112 | -3.23265 | 0.99665 | 0.077 | 0.087 |
| 1530 | 0.90 | 0.00180 | 0.98900 | 0.60043 | -3.47648 | 0.99639 | 0.087 | 0.096 |
| 1700 | 1.00 | -0.01175 | 0.98647 | 0.60455 | -3.63873 | 0.99665 | 0.069 | 0.075 |
max is Maximum load for load test, αpc is end resistance sharing ratio by calculating, αpm end resistance sharing ratio by measuring.
Figs. (5 and 6) show that the calculated side resistance is not much different from the measured maximum value. The difference between the calculated side resistance and the measured side resistance is caused by the difference of soil parameters. The calculated end resistance sharing ratio is 0.054~0.113, and the measured end resistance sharing ratio is 0.049~0.113.
3.3. Parameter Analysis of Load Transfer Function Fitting for Compression Pile and Uplift Pile
Figs. (7 and 8) are the comparison of load transfer functions of compression piles and uplift piles under various loads. It can be seen that the load transfer function is most affected by the end resistance sharing ratio. For 0.5 <
/
max ≤ 1, intersection position of the transfer function of compression pile and uplift pile is 0.5
is between 0.0 and intersection, the difference of load transfer function between compression pile and the uplift pile is small; for z / L is between intersection and 1.0, the load transfer function of compression pile and uplift pile increases with the increase in load.
4. STATIC LOAD TEST ANALYSIS OF PHC PIPE PILE
4.1. Project Profile
The project is located in Dingxing County, Baoding City, Hebei Province. The site is about 10km far from Gucheng Town in the east and about 20 km far from Dingxing County in the north. The Beijing-Kunming high-speed lead wire passes through the 200 m north side of the station site, and the traffic is convenient. The concrete strength of the pile body is C80. The foundation soil of the site is mainly the sediment of the Quaternary alluvial deposit, composed of loess-like silt, loess-like silty clay, cohesive soil, silt, fine sand and medium coarse sand. The soil layer where the test pile is located is as follows:
1 layer of loess-like silt: The static probe end resistance is 0.35~2.28MPa, and the thickness is 3.90~6.70 m.
2 layer of loess-like silty clay: The static probe end resistance is 0.35~0.76MPa, and the thickness is 0.7~1.2 m. The site is widely distributed and the horizon is stable.
1 layer of fine sand: The resistance of the static probe end is 0.92~16.62 MPa. Generally, the thickness is 0.4 to 1.3 m, and a thin layer of silt is evenly sandwiched.
2 layer of fine sand, medium-coarse sand and coarse sand: The static probe end resistance is 2.16~33.39 Mpa.
3 layer of silty clay, silt: The resistance of the static probe end is 0.45~14.59 MPa. The thickness is thin, generally 0.3~1.2 m.
layer silty clay: The standard penetration test corrected the number of shots from 10.4 ~ 18.0. The layer is unstable and the thickness changes greatly. The thickness is 2.0~4.0 m, and the maximum is 6.0 m.
layers of coarse sand: Generally medium to dense ~ dense, saturated. This survey controlled hole drill reveals this layer.
4.2. Test Overview
(a) By using the high strain dynamic testing system of PDA pile foundation produced by PDI company, fourteen PHC pipe piles with a diameter of 500 mm and a length of 12 m and 11m are tested.
(b) Three PHC compression piles and three uplift piles with a pile diameter of 400 mm are tested under static load.
(c) Three PHC compression piles and three uplift piles with a pile diameter of 500 mm are tested under static load.
Before the static load test, the low strain integrity of the test pile was tested. The test results show that the test piles were complete. The integrity of the pile body meets the design requirements.
4.3. Normalized Transfer Function and Side Resistance Distribution of PHC Pile
The 14 PHC Pipe Piles on the site are tested for high strain, and the side resistance distribution and the load transfer function of PHC pipe piles are obtained by high strain fitting. The load transfer function is normalized and fitted by formula (1). The fit curve is shown in Fig. (9). The fitting parameters are given in Table 3. According to the normalized load transfer function, the distribution of side resistance along the pile length can be calculated as shown in Fig. (10)
From Table 3, the R-square of the fitting curve formula (1) is greater than 0.999, the function has a good correlation. The dispersion of fitting parameters A2 and Lx0 of the same site is small, with the mean values of 1.03442 and 0.79853, and the coefficient of variation of 0.0096 and 0.0812, respectively. Therefore, the fitting parameter A2 and Lx0 of the same site can be considered as a constant.
Fig. (11) shows the comparison of the side resistance of the PHC pile between the measured and the determined value by the fitting function. The results show that the fitting function can better determine the distribution of side force along the pile length.
4.4. Static Load Test Analysis of PHC Pipe Pile
Fig. (12) is load (P) ~ displacement(s) curves of PHC compression piles with a pile diameter of 400mm and 500 mm, respectively. Fig. (13) is load (T) ~ uplift displacement (u) curves of PHC uplift piles with a pile diameter of 400 mm and 500 mm, respectively.
From Fig. (12), when the vertical load of test pile S1 is increased to 2000 kN, the concrete at the top of the pile is suddenly damaged and the loading cannot be continued. When the vertical load of S4 and S5 is increased to 2640 kN and 2750 kN, respectively, the settlement reaches 79.06 mm and 78.66 mm, respectively, and the load cannot be maintained, so the loading will not continue. When the vertical loads of S7, S8 and S9 are added to 2700 kN, 3000 kN and 3000 kN respectively, the longitudinal cracks appear in the top of the pile, and there is a trend of continuous increase, so the test is terminated.
PHC compression pipe pile, under the condition that the pile end enters into layer
2 as the bearing layer of the pile end, the depth of entering into the bearing layer is about 4 m, and the final penetration meets 20-40 mm, the average value of vertical compression ultimate bearing capacity and characteristic value of bearing capacity of single pile of Φ 400 mm is 2066.7 kN and 1033.3 kN, respectively; The average value of vertical compression ultimate bearing capacity of single pile of Φ 500 mm is 2600 kN, and the average value of characteristic value of bearing capacity is 1300 kN, which is 25.8% higher than that of PHC pile of Φ 400 mm.
According to Fig. (13), S2, S3 and S4, when the vertical load is added to 600 kN, the reinforcement is pulled and the test cannot be continued, and the test is terminated; S10, S11 and S12 when the vertical load is added to 800 kN, the longitudinal cracks appear on the pile top concrete, and the test is terminated. PHC uplift pipe pile, under the condition that the end of the pile enters into the bearing layer
2, the depth of the bearing layer is about 4 m, and the final penetration meets the condition of 20-40 mm, the standard value of the ultimate bearing capacity of single pile of Φ 400 mm is 543 kN, corresponding to the characteristic value of the vertical bearing capacity of single pile of 271 kN. The standard value of the ultimate uplift bearing capacity of a single pile of Φ 500 mm is 720 kN, corresponding to the characteristic value of the vertical uplift bearing capacity of a single pile of 360 kN, which is 32.5% higher than that of the PHC pile of Φ 400 mm.

Relationship of uplift pile.

Of relationship uplift pile.



Relationship of PHC compression pile (L=12 m).

Relationship of PHC compression pile (L=11m).

.
| No | L /m | A1 | A2 | Lx0 | p | R-Square | αpc | αpm |
|---|---|---|---|---|---|---|---|---|
| No.3 | 12 | 0.03833 | 1.05840 | 0.82017 | -1.47267 | 0.99988 | 0.39985 | 0.3975 |
| No.12 | 12 | 0.00858 | 1.03313 | 0.79889 | -1.98694 | 0.99942 | 0.30114 | 0.3005 |
| No.25 | 12 | 0.01092 | 1.03253 | 0.85848 | -1.81573 | 0.99987 | 0.37232 | 0.3749 |
| No.469 | 12 | 0.05953 | 1.03878 | 0.79574 | -1.88723 | 0.99957 | 0.34063 | 0.3451 |
| No.496 | 12 | 0.07626 | 1.03190 | 0.83091 | -1.93232 | 0.99942 | 0.37701 | 0.3824 |
| No.518 | 12 | 0.14013 | 1.02351 | 0.73211 | -2.26463 | 0.99988 | 0.31249 | 0.3153 |
| No.1024 | 12 | 0.24927 | 1.02102 | 0.73666 | -2.23838 | 0.99987 | 0.40474 | 0.4072 |
| No.1046 | 12 | 0.17859 | 1.02441 | 0.75791 | -2.21520 | 0.99965 | 0.36526 | 0.3692 |
| No.1061 | 12 | 0.10877 | 1.03247 | 0.75942 | -2.06028 | 0.99969 | 0.32900 | 0.3324 |
| No.2091 | 12 | 0.23754 | 1.04386 | 0.73991 | -1.78937 | 0.99969 | 0.44228 | 0.4432 |
| No.2113 | 12 | 0.23726 | 1.04576 | 0.71324 | -1.78258 | 0.99986 | 0.42836 | 0.4277 |
| No.2140 | 12 | 0.06036 | 1.03557 | 0.88802 | -1.61349 | 0.99997 | 0.44693 | 0.4480 |
| No.2602 | 12 | 0.27496 | 1.04139 | 0.71084 | -1.79867 | 0.99992 | 0.45312 | 0.4527 |
| No.1550 | 11 | 0.19655 | 1.02371 | 0.85054 | -1.91316 | 0.99942 | 0.47480 | 0.4787 |
| No.1575 | 11 | -0.0252 | 1.03837 | 0.89282 | -1.61684 | 0.99978 | 0.39947 | 0.4019 |
| No.1597 | 11 | -0.0656 | 1.02590 | 0.89082 | -1.79202 | 0.99936 | 0.35247 | 0.3593 |
max is Maximum load for load test,αpc is end resistance sharing ratio by calculating, αpm end resistance sharing ratio by measuring.



On this site, when the pile diameter is 400 mm, the ultimate bearing capacity of the compression pile is 3.81 times of that of the uplift pile; when the pile diameter is 500 mm, the ultimate bearing capacity of the compression pile is 3.61 times of that of the uplift pile.
Fig. (14) shows the comparision of load-displacement curves of compression and uplift piles. From Fig. (14), under the same pile top load, the uplift of the uplift pile top is greater than the settlement of the compression pile top. When the load is small, the two test displacements are close. With the increase in the load, the difference between the two displacements increases gradually. When the pile diameter is 400 mm and 500 mm respectively, and the uplift pile is loaded to 600 kN and 800 mm respectively, the average displacement of the pile top is 17.1 mm and 18.7 mm respectively, and the average displacement of the corresponding compression pile top is 5.1 mm and 4.9 mm respectively; the ratio of the uplift pile to the compression pile top displacement is 3.38 and 3.84 respectively. When the pile diameter is 400 mm and 500 mm respectively, and the maximum displacement of the uplift pile is reached, the corresponding load of the compression pile is 1575 kN and 2126 kN respectively, which are 2.63 and 2.66 times of the maximum load of the uplift pile.
EQ. (4) Determination of normalized load transfer function and side resistance distribution by static load test
Assuming that the normalized load transfer function satisfies equation (1), the fitting function shall meet the following conditions:
![]() |
(5) |
![]() |
(6) |
From the statistical analysis of the fitting parameters in Tables 1-3, it can be seen that the fitting parameters A1 and Lx0 variability of the same site are very small, which can be considered as constant. Combining formula (2) and formula (3), fitting parameters A1 and p can be determined by iteration. From Tables 1-3, it can be seen that the mean value and coefficient of variation obtained from A2 by statistical analysis of fitting parameters of different construction methods at different sites are 1.05901 and 0.04688 respectively, A2 has nothing to do with the site and pile construction methods. Therefore, it can be considered that the fitting parameter A2 of the site is 1.05901, Lx0 is 0.79853.
Substituting A2 =1.05901 and Lx0 = 0.79853 into formula (2) and formula (3), A1 and p are obtained by iteration. A1 and p are given in Table 4.
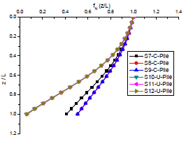
Figs. (15 and 16) show the normalized load transfer functions of compression piles and uplift piles with pile diameters of 400 mm and 500 mm, respectively. Figs. (17 and 18) show the distribution of side resistance based on the normalized load transfer function.
| Compression pile | S1 | S4 | S5 | S7 | S8 | S9 |
|---|---|---|---|---|---|---|
| Pile diameter/mm | 400 | 400 | 400 | 500 | 500 | 500 |
| Ultimate bearing capacity /kN | 1750 | 2200 | 2250 | 2400 | 2700 | 2700 |
| αpc | 0.640 | 0.549 | 0.329 | 0.412 | 0.509 | 0.509 |
| A1 | 0.4060 | 0.278 | -0.026 | 0.087 | 0.222 | 0.222 |
| p | -1.255884 | -1.3627 | -1.5531 | 1.486 | -1.4026 | -1.4026 |
| Uplft pile | S2 | S3 | S6 | S10 | S11 | S12 |
| Pile diameter/mm | 400 | 400 | 400 | 500 | 500 | 500 |
| Ultimate bearing capacity /kN | 540 | 550 | 540 | 720 | 720 | 720 |
| αpu | 0.050 | 0.065 | 0.058 | 0.055 | 0.063 | 0062 |
| αpc / αpu | 12.80 | 8.45 | 5.67 | 7.49 | 8.08 | 8.21 |
| A1 | -0.404 | -0.383 | -0.393 | -0.396 | -0.387 | -0.387 |
| p | -1.7237 | -1.7155 | -1.719 | -1.7206 | -1.717 | -1.717 |

Relationship (pile diameter 400 mm).

Relationship (pile diameter 400 mm).

Relationship (pile diameter 400 mm).

Relationship (pile diameter 400 mm).
CONCLUSION
(1) The load transfer function of the uplift pile and the compression pile has similar characteristics. The DoseResp model is used for nonlinear regression analysis of the normalized load transfer function. The goodness of fit is greater than 0.99, which can better reflect the load transfer law of compression pile and uplift pile. The fitting parameters in the DoseResp model mainly depend on the end resistance sharing ratio, A2 (Top asymptote)is independent of pile type and soil property parameters and is close to 1. On the same site, Lx0 (i.e. center) is a constant when approaching the limit state.
(2) Using the DoseResp model of the normalized load transfer function, the distribution of the side resistance of the compression pile and the uplift pile along the pile body is determined. The predicted results are consistent with the measured laws. The difference between the measured side resistance distribution and the calculated results is mainly caused by the different soil properties.
(3) The failure form of PHC Pipe Piles on the same site is the concrete failure of pile top, the development of resistance around the pile cannot be fully exerted, the maximum settlement of pile top is small, or the pile settlement is too large to continue to bear the load, the development of resistance around the pile cannot be fully exerted, and the maximum settlement of pile top is large. The failure mode of PHC piles is that the reinforcement on the top of the pile is broken or the concrete on the top of the pile has longitudinal cracks. The development of side resistance is related to the failure mode of the pile.
(4) The end resistance sharing ratio of the PHC compression pipe pile is 0.329~0.634; the end resistance sharing ratio of the PHC uplift pile is 0.05~0.065. The compression bearing capacity of the 500 mm PHC pipe pile is 25.8% higher than that of the 400 mm diameter PHC pipe pile. The uplift bearing capacity of the 500 mm PHC pipe pile is 32.5% higher than that of the PHC pipe pile with a diameter of 400 mm. When the pile diameter is 400 mm and 500 mm, respectively, the ultimate bearing capacity of the PHC pile compression pile is 3.81 times and 3.61 times that of the uplift pile.
(5) Under the same pile top load, the uplift of the uplift pile top is greater than the settlement of the compression pile top. When the load is small, the two test displacements are close. With the increase in the load, the difference between the two displacements increases gradually.
CONSENT FOR PUBLICATION
Not applicable.
AVAILABILITY OF DATA AND MATERIALS
The data supporting the findings of the article is available in the China National Knowledge Infrastructure at: (https://kns.cnki.net/KCMS/detail/detail.aspx?dbcode=CJFQ&dbname=CJFDLAST2016&filename=YTGJ201506007&v=MTA1MTk4ZVgxTHV4WVM3RGgxVDNxVHJXTTFGckNVUjdxZlp1Vn ZGeTNuVUw3SVBEbk1aTEc 0SDlUTXFZOUZZNFI=, reference number 7)
and
FUNDING
The project “Research on three-dimensional limit analysis method of dynamic stability of slope reinforced with pile anchor” is supported by the Natural Science Foundation of Hebei Province of China. Project number: E2019201422.
CONFLICT OF INTEREST
The authors declare no conflict of interest, financial or otherwise.
ACKNOWLEDGEMENTS
Declared none.







